Resultado de la encuesta de javaHispano: ¿Cuánto es el salario de un profesional Java?

Jorge Rubira

En números pasados comentamos que javaHispano estaba realizando una encuesta para chequear el estado del mercado laboral y satisfacción de los profesionales. Hoy mismo tenemos ya la suerte de poder acceder a los resultados y un estudio desgranando diferentes aspectos. En esta encuesta participaron 1778 personas y si deseáis realizar vuestros propios estudios podéis obtener los datos en bruto aquí.

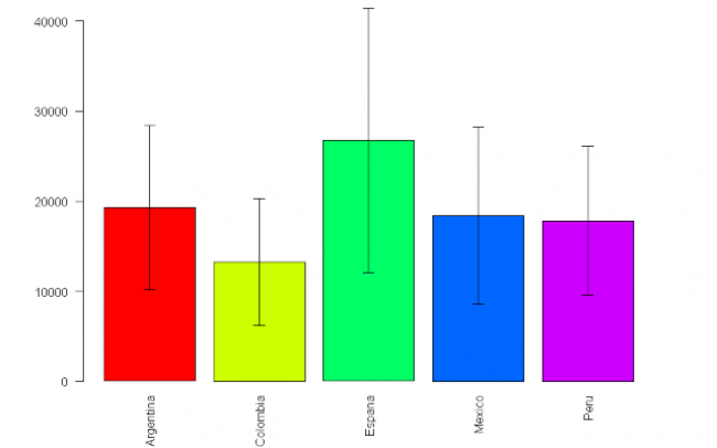
El aspecto más general es la media de sueldo por país. El país con idioma español donde más se cobra es España con una media de 26.740€, seguido de Argentina con 19,292€ y México con 18.430€. Por ciudades hay una gran salto diferencial entre Madrid, Barcelona, Bilbao y Valladolid que ronda entre 27.000€ y 30.000€ y el resto de ciudades que ronda los 21.000€ a 23.000€.

Desde el punto de vista de años de experiencia, evidentemente cuantos más años de experiencia, más alto es el salario. En España, una persona con menos de dos años de experiencia cobra una media de 18.103€ y avanza escalonadamente hasta llegar a 36.420€ para una persona de más de 17 años de experiencia.

En cuanto al salario en función del tamaño de la empresa, cuanto más grande es la empresa más alto es el salario. Sin embargo, hay una excepción. Si trabajas en una empresa pequeña 2-4 personas, es mejor que vayas por tu cuenta (1 persona). Hay también valorar que el 45% trabaja en grandes empresas (más de 250 personas) y hay poco emprendedores o autónomos en nuestro sector 4%.

En cuanto a funciones, el 59% declara realizar labores o definir su trabajo de “Programador”, un 21% analista, un 8% arquitecto, un 7% Jefe de proyecto y un 2% director de tecnología. Esto corresponde a una proporción de 8-9 programadores y 3 analistas por jefe.

Finalmente, de cara a la satisfacción del empleado, en España el 22% está satisfecho con su trabajo y el 26% no está satisfecho. El 52% se encuentra ha contestado la respuesta intermedia “más o menos”. Sin embargo, la satisfacción es mayor en países latino-americanos en el que la respuesta “satisfecho” se incrementa notablemente. Invito a todo el mundo a darle un vistazo a este estudio para que puedas comprobar y comparar tu situación concreta comprobando con vuestro caso particular.

Vía | javaHispano